과목명 : 논리회로 실습(Logic circuit practice)
수업일자 : 2022년 09월 13일 (화)
1. 기본 논리 게이트 (NOT, AND, OR Gate)
1-1 논리 레벨
- 디지털 시스템에서 전기 신호는 두 가지 구분된 값인 0과 1로만 인식됩니다.
- CMOS 같은 디지털 회로는 전기 신호를 보통 전압으로 나타냅니다.

(1) 게이트(Gate)
- 게이트는 스위치 역할을 하는 트랜지스터로 구성됩니다.
- 트랜지스터는 NOT 게이트로 동작합니다.


1-2 기본 논리 게이트의 논리 기호와 동작
(1) NOT Gate
- NOT 게이트는 인버터(Inverter)라고도 부릅니다.




(2) AND Gate
- AND 게이트는 논리곱(Logical product)라고도 부릅니다.
- 입력이 모두 1(On)일 때만 출력은 1(On)이 되며 입력이 하나라도 0(Off)이면 출력은 0(Off)이 됩니다.




(3) OR Gate
- OR 게이트는 논리합(Logic sum)이라고도 부릅니다.
- 입력 중 하나라도 1(On)이 있다면 출력은 1(On)이 됩니다.




2. 일반 논리 게이트 (NAND, NOR Gate)
2-1. 일반 논리 게이트의 논리 기호와 기본 동작
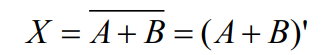
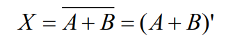
(1) NAND Gate
- NAND 게이트는 입력이 모두 1(On)일 때만 출력이 0(Off)이 되고, 나머지는 모두 출력이 1(On)이 됩니다.
- AND 게이트 바로 뒤에 NOT 게이트가 이어진 것처럼 동작합니다.



(2) NOR Gate
- NOR 게이트는 입력이 모두 0(Off)일 때만 출력이 1(On)이 되고 입력이 하나라도 1(On)이면 출력은 0(Off)이 됩니다.
- NOR 게이트는 OR 게이트 바로 앞에 NOT 게이트가 이어지는 것처럼 동작합니다.



3. 실험 및 Simulation - NAND / NOR Gate
3-1 회로 구성

3-2 회로 Simulation
- NAND, NOR 게이트의 특성과 동일하게 위와 같이 구성된 회로가 정상적으로 Simulation되었습니다.

- 학부에서 수강했던 전공 수업 내용을 정리하는 포스팅입니다.
- 내용 중에서 오타 또는 잘못된 내용이 있을 시 지적해 주시기 바랍니다.
'전공 수업 > 논리회로 실습' 카테고리의 다른 글
| [7주 차] - 가산기와 감산기(Adder and Subtractor) (0) | 2022.10.12 |
|---|---|
| [6주 차] - XOR, XNOR 게이트, 논리 함수 간소화 (2) | 2022.10.05 |
| [5주 차] - 부울 대수(Boolean Algebra), 드모르간의 법칙(De Morgan's Law) (0) | 2022.09.29 |
| [2주 차] - Quartus Prime, Simulation 개요 (0) | 2022.09.20 |
| [1주 차] - 수업 개요 (0) | 2022.08.31 |
댓글