과목명 : 논리회로 실습(Logic circuit practice)
수업일자 : 2022년 11월 01일 (화)
1. 멀티플렉서(Multiplexer)와 디멀티플렉서(Demultiplexer)
1-1. 멀티플렉서

- 멀티플렉서는 많은 입력 중 하나를 선택하므로 데이터 선택기(Data selector)라고도 불립니다.


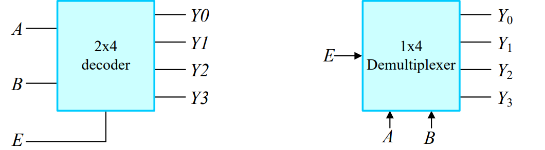
1-2. 디멀티플렉서


1-3. 멀티플렉서와 디멀티플렉서의 비교
(1) 어떻게 확장할 것인가?
- ex) 4 x 1 멀티플렉서 구현 > 4 x 1 멀티플렉서를 그대로 구현하거나 2 x 1 멀티플렉서 2개를 연결하여 구현합니다.
(2) 두 소자의 동작 방식, 의미하는 바(어떠한 소자)는 무엇인지?
(a) 멀티플렉서
- 여러 입력선 중 하나를 선택하여 출력선에 연결하는 장치
- 선택선의 값에 따라 입력선 중 하나를 선택하여 출력
(b) 디멀티플렉서
- 멀티플렉서와 반대의 동작을 수행
- 정보를 한 선으로 받은 후 선택값에 따라 출력선 중 하나를 선택하여 정보를 전송
- 두 소자의 경우 회로를 구성할 때 자주 쓰이는 기능들은 미리 만들어 회로를 만들 때 바로 가져와서 쉽게 사용할 수 있도록하면 편리하겠다는 생각을 기반으로 하여 제작된 회로가 멀티플렉서, 디멀티플렉서입니다.
(3) 두 소자가 응용(활용)되는 곳?
- 멀티플렉서와 디멀티플렉서의 경우 다양한 여러 주변 장치들을 버스(Bus)를 통해 연결할 때 주로 사용됩니다.
2. 멀티플렉서의 설계
2-1. 2 × 1 멀티플렉서
- 2 × 1 멀티플렉서는 선택선 S의 값에 따라 입력 2개 중 하나를 출력으로 내보내는 장치입니다.
- 아래 회로에서 E는 active-high으로 동작합니다.



2-2. 4 × 1 멀티플렉서



2-3. 8 × 1 멀티플렉서




3. 멀티플렉서를 이용한 조합 논리회로 구현
- 멀티플렉서로도 조합 논리회로를 구현할 수 있습니다.
3-1. 8 × 1 MUX를 이용한 조합 논리회로 구현



3-2. 4 × 1 MUX를 이용한 조합 논리회로 구현

- 입력 단자 C는 출력 단자 X와 비교했을 때 서로 입력/출력의 관계를 가지고 있습니다.

3-2. 4 × 1 MUX를 이용한 3입력 XOR 회로 구현
- A, B, C 중에서 1의 개수가 홀수일 때 출력이 1이 되도록 구현합니다.
- 입력 단자 C는 출력 단자 X와 비교했을 때 서로 입력/출력의 관계를 가지고 있습니다.

3. 디멀티플렉서의 설계
3-1. 1 × 4 디멀티플렉서

- Enable 입력이 있는 디코더는 디멀티플렉서의 역할을 수행할 수 있습니다.
- 디멀티플렉서는 디코더와 함께 사용되며 디코더를 통해 디멀티플렉서를 구현할 수 있습니다.
- 1 x 4 디멀티플렉서는 입력 E가 출력의 형태를 가지고 있습니다.

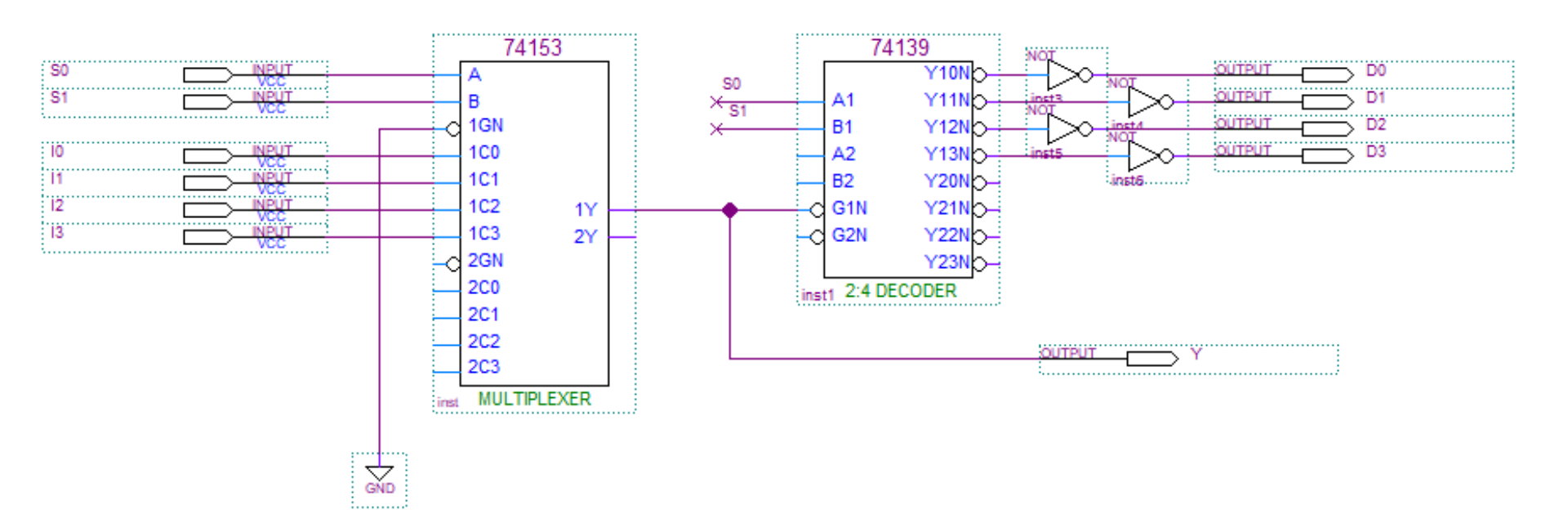
3-2. IC 74139
- 74139는 2개의 1 x 4 디멀티플렉서와 디코더로 구현되어 있습니다.
- 74139는 active-low일 때 동작합니다.

3-3. 1 x 8 디멀티플렉서
- 3 x 8 디코더 74138의 인에이블(G2)를 데이터 입력으로, A, B, C를 선택선으로 사용하였고 active-low일 때 활성화되는 디멀티플렉서가 됩니다.

4. Simulation
4-1. 입력의 상태를 표와 같이 변화시키면서 출력의 상태를 기록하여라.

4-2. 회로도 Simulation

- 학부에서 수강했던 전공 수업 내용을 정리하는 포스팅입니다.
- 내용 중에서 오타 또는 잘못된 내용이 있을 시 지적해 주시기 바랍니다.
'전공 수업 > 논리회로 실습' 카테고리의 다른 글
| [12주 차] - 래치와 플립플롭 (Latch and Flipflop) (2) | 2022.11.16 |
|---|---|
| [11주 차] - 코드 변환기(그레이 코드, BCD 코드, 3초과 코드, 2421 코드) (0) | 2022.11.09 |
| [8주 차] - 디코더와 인코더(Decoder and Encoder) (0) | 2022.10.24 |
| [7주 차] - 가산기와 감산기(Adder and Subtractor) (0) | 2022.10.12 |
| [6주 차] - XOR, XNOR 게이트, 논리 함수 간소화 (2) | 2022.10.05 |
댓글